Basic Measurements
The basic measurements for multi-ROIs that are available in the Compute Measurements dialog include voxel count, surface area, center of mass, and many others. These measurements are shown in the Compute Measurements dialog, shown below, and are described in the following table.
Basic measurements
| Measurement | Description | Unit |
|---|---|---|
| Voxel Count | Is the total number of labeled voxels in each discrete object. | none |
| Volume | Is the volume occupied by the labeled voxels of each discrete object. | (default units)3 |
|
Surface Area (voxel-wise)a Surface Area (Lorensen 1987)b Surface Area (Lindblad 2005)c |
Is the surface area occupied by the labeled voxels of each discrete object. | (default units)2 |
|
Volume/Surface Area (Lindblad 2005)b Volume/Surface Area (voxel-wise)a |
Is the calculated volume-to-surface area ratio. | none |
| Surface Area X/2, Y/2, or Z/2 |
Is computed as half of the area of the surface of all voxels 'facing' their respective axis, as shown below.
For example, the 'surface area Z/2' computed from a cube measuring 0.1 mm by 0.1 mm by 0.1 mm would be 0.01 mm2. In this case, the area of each Z facing voxel is computed as X*Y and then summed and divided by two. |
(default units)2 |
| Surface Area X, Y, or Z | Is computed as the area of the surface of all voxels 'facing' their respective axis. For example, the 'surface area Z' computed from a cube measuring 0.1 mm by 0.1 mm by 0.1 mm would be 0.02 mm2. In this case, the area of each Z facing voxel is computed as X*Y and then summed. | (default units)2 |
| Phi and Theta angles | Is the Phi and Theta angles of the minimum, middle, and maximum Eigen vectors of each discrete object and can be computed in the world and image coordinate systems.
The value of Phi (f), which can range from 0 to 90 degrees, is the angle between the Z axis and the longest axis of the object. The value of Theta (q), which can range from -180 to 180 degrees, is the angle between the X axis and the projection of the longest axis of the object on the X-Y plane. Phi (f) and Theta (q) angles Note The option to compute Phi and Theta in the world coordinate system lets you directly compare the Phi and Theta angles of datasets that are spatially oriented differently. Note Computations of Phi and Theta are equivalent o computations of Phi of Minimum Eigen Vector and Theta of Minimum Eigen Vector, respectively. |
degrees/radians |
| Aspect Ratio |
Describes the proportional relationship between the largest eigenvalue and the smallest for the inertia eigenvectors. The aspect ratio is computed as:
|
none |
| Center of Mass X, Y, or Zd, e, f | Indicates the X, Y, or Z coordinate of the center of mass, which is calculated from the centroid of the object. | default units |
| Center of Mass Index X, Y, or Z | Indicates the X, Y, or Z voxel location of the center of mass. | none |
| Min Location X, Y, or Zf | Indicates the minimum X, Y, or Z coordinate of the object. | (default units)2 |
| Min Index X, Y, or Z | Indicates the minimum X, Y, or Z voxel location of an object. | |
| Max Location X, Y, or Zf | Indicates the maximum X, Y, or Z-coordinate of the object. | (default units)2 |
| Max Index X, Y, or Z | Indicates the maximum X, Y, or Z voxel location of an object. | none |
| Min Feret Diameter | Is the shortest distance between any two parallel tangents along each discrete object’s convex hull. Can also be referred to as the maximum caliper diameter. | default units |
| Mean Feret Diameter | Is the mean value of the minimum and maximum Feret diameters of each discrete object's boundary over a sufficient number of orientations. | default units |
| Max Feret Diameter | Is the longest distance between any two parallel tangents along each discrete object’s convex hull. Can also be referred to as the maximum caliper diameter. | default units |
| Min Ortho Feret Diameter | Is the shortest distance between any two points along each discrete object's boundary that are orthogonal to the maximum Feret diameter. | default units |
| Min Ortho/Max Feret Diameter |
Is the ratio of the minimum orthogonal Feret diameter to the maximum Feret diameter.
NoteThis measure can provide a good indication of the elongation of a particle. |
none |
|
Convex Hull Surface Area (voxel-wise)a Convex Hull Surface Area (Lorensen 1987)b Convex Hull Surface Area (Lindblad 2005)c |
Is the surface area of the convex hull of each discrete object. | (default units)2 |
|
3D Solidity (voxel-wise)a 3D Solidity (Lorensen 1987)b 3D Solidity (Lindblad 2005)c |
Is the ratio of the surface area to the convex hull surface area. A value of 1 signifies a perfectly smooth and solid distinct object, while a value less than or greater then 1 signifies an object having an irregular boundary or that contains holes. | none |
|
Total Roughness Proxy XY (Heenan 2020)g Total Roughness Proxy YZ (Heenan 2020)g Total Roughness Proxy XZ (Heenan 2020)g Total Roughness Proxy XYZ(Heenan 2020)g |
Total Roughness Proxy XY/YZ/XZ… Are proxy measurements that report the roughness of particles, which are pre-supposed to be approximately spherical. A marching cubes mesh of the particle is computed and then resampled along the particle’s median plane in XY, YZ, or XZ. In that plane, the maximum and minimum radius of the resampled surface contour is computed from the object’s centroid. The Total Roughness Proxy is the difference of the maximum and minimum radius, as shown below.
Total Roughness Proxy XYZ… Reports the difference of the minimum radius observed over all three planes from the maximum observed over all three planes. Note This measurement is based on the method proposed by Thomas Heenang and should be considered as only a proxy for roughness. In addition, metrics such as this can possess fractal properties and are dependent up upon characterization resolution both in terms of voxel or spatial resolution and the angular increment. |
none |
|
Total Roughness: Particle Radius Range
Total Roughness: Particle Radius STD |
Are measurements that report the roughness of particles, which are pre-supposed to be approximately spherical. A marching cubes mesh of the particle is computed, and then the radius is evaluated for all positions on the surface of that mesh from the object's centroid.
Total Roughness: Particle Radius Range… Reports the difference between the maximum radius (not constrained to any planes) and the minimum radius. Total Roughness: Particle Radius Standard Deviation… Reports the standard deviation of all radii evaluated. |
none |
| Particle Radius Min/Max/Mean |
Are measurements that report the radius of particles. A marching cubes mesh of the particle is computed, and then the radius is evaluated for all positions on the surface of that mesh from the object’s centroid.
Particle Radius Min… Reports the minimum of all evaluated radii. Particle Radius Max… Reports the maximum of all evaluated radii. Particle Radius Mean… Reports the mean of all evaluated radii. |
default units |
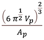
| Sphericity |
Measures the degree to which an object approaches the shape of a 'sphere', by computing the ratio between object volume and surface area. This ratio is
computed as follows:
In the above, Vp is the volume of the particle and Ap is the surface area of the particle. In this case, the surface area is computed using the Lindblad surface area estimator methodc. |
none |
| Distance to Closest Object | Computes the distance between each distinct object and its closest neighbor. | default units |
| Index of Closest Object | Reports the index of the closest neighbor to each distinct object. | none |


